Ответы
Ответ дал:
0
Это ришение этой задачы
Приложения:

Ответ дал:
0
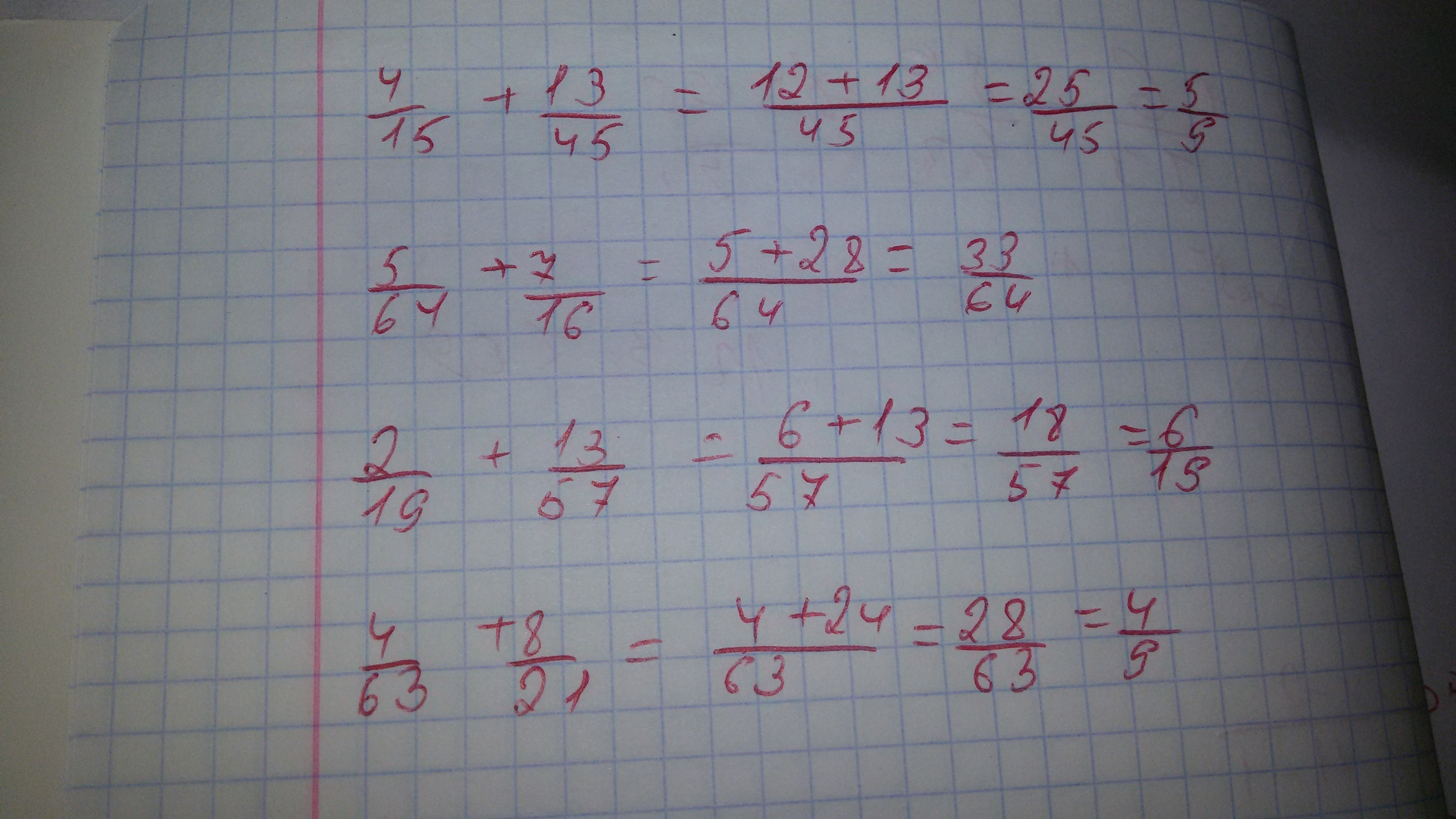
А) 4/15+13/45=5/9 Б)5/64+7/16=33/64 В)2/19+13/57=1/3 Г)4/63+8/21=4/9
1)12+13/45 1)5+28/64 1)6+13/57 1)4+24/63
2)25/45 2)33/64 2)19/57 2)28/63
3)5/9 3)1/3 3)4/9
(Вроде так)
Приложения:

Вас заинтересует
2 года назад
3 года назад
9 лет назад
9 лет назад
9 лет назад