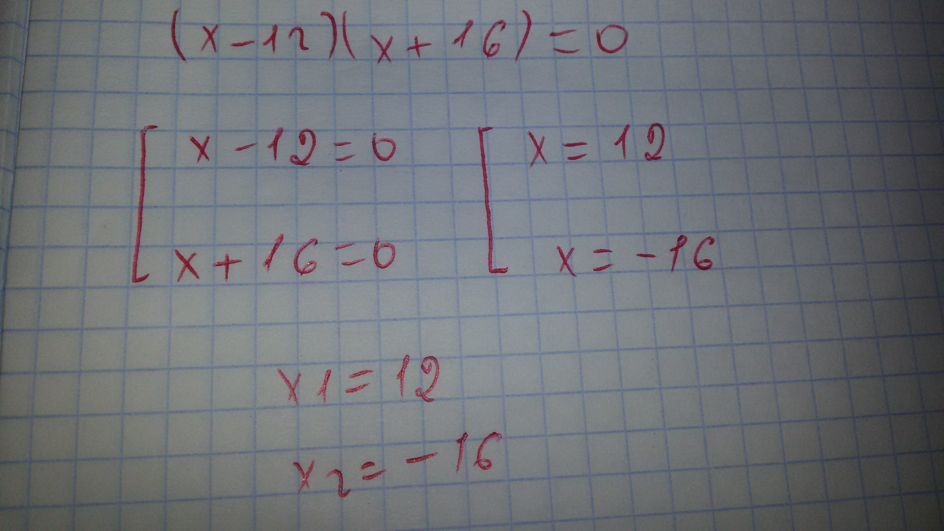
Реши уравнение (x−12)(x+16)=0 (Ввод начни с наибольшего корня уравнения)
X1=(____) X2=(_____)
Решите пример пожалуйста буду благодарен заранее спасибо
Ответы
Ответ дал:
0
Это ришение этой задачы
Приложения:

Ответ дал:
0
спасибо но это не то что нужно было )
Ответ дал:
0
Произведение равно нулю, если хотя бы один из множителей равен нулю
- наибольший корень
Приложения:

Вас заинтересует
2 года назад
2 года назад
3 года назад
3 года назад
9 лет назад
9 лет назад
9 лет назад