• Предмет: Математика
  • Автор: ilashka2007
  • Вопрос задан 8 лет назад

Второе я не понимаю помогите пожалуйста даю 10 баллов

Приложения:

Ответы

Ответ дал: parus77
0

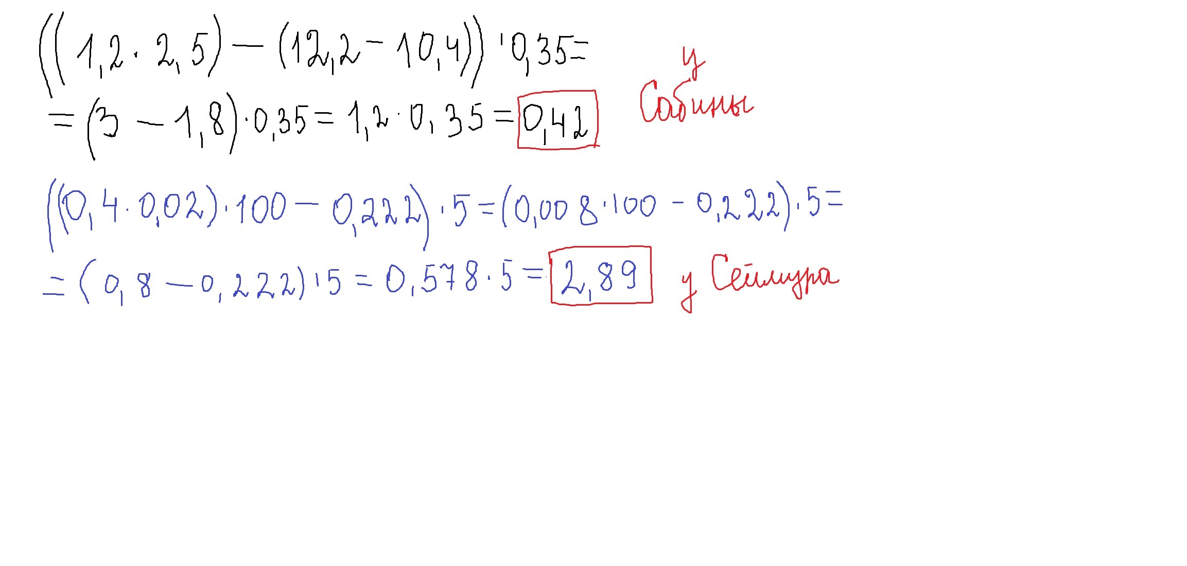
у Сабины написано 0,42 у Сеймура написано 2,89

решение смотри внизу

Приложения:
Вас заинтересует