Ответы
Ответ дал:
0
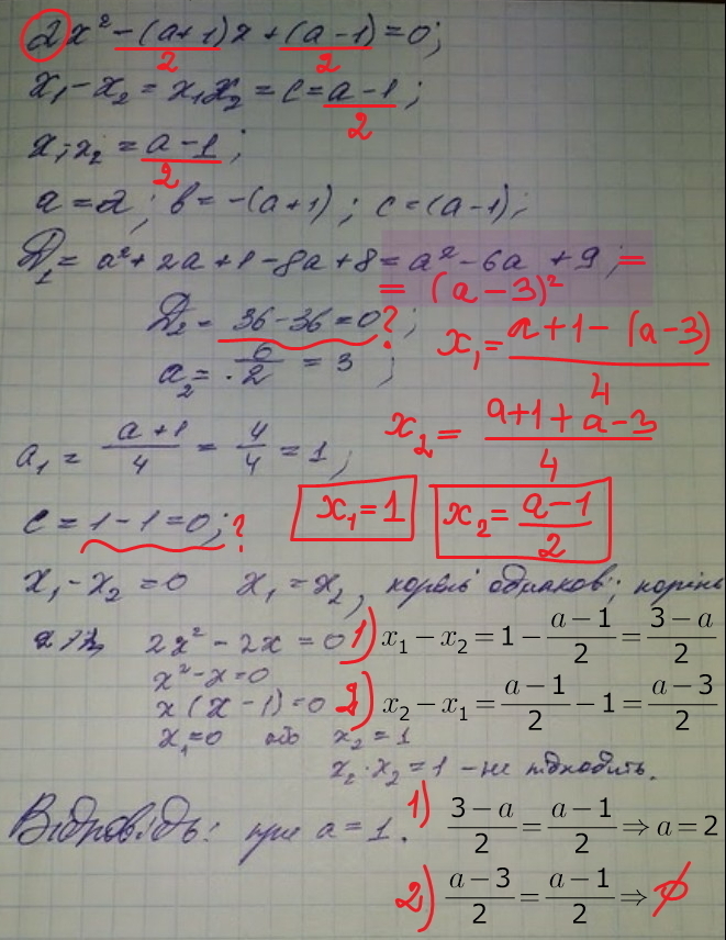
1. уравнение НЕ приведенное... т.Виета чуть иначе запишется (чем у вас...)
на 2 надо разделить (на старший коэффициент)
2. не до конца преобразовали дискриминант...
Приложения:

Вас заинтересует
2 года назад
3 года назад
3 года назад
9 лет назад
9 лет назад