Ответы
Ответ дал:
0
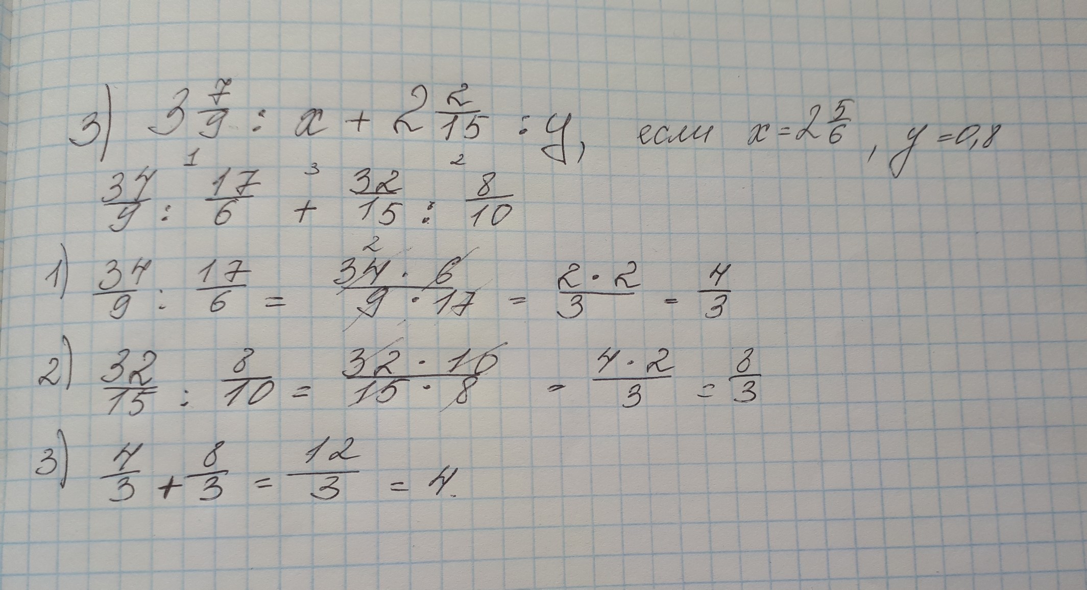
ответ предоставлен на фото
Приложения:

Ответ дал:
0
мне сегодня объячснили еще легче
Вас заинтересует
2 года назад
2 года назад
3 года назад
3 года назад
9 лет назад
9 лет назад