Ответы
Ответ дал:
0
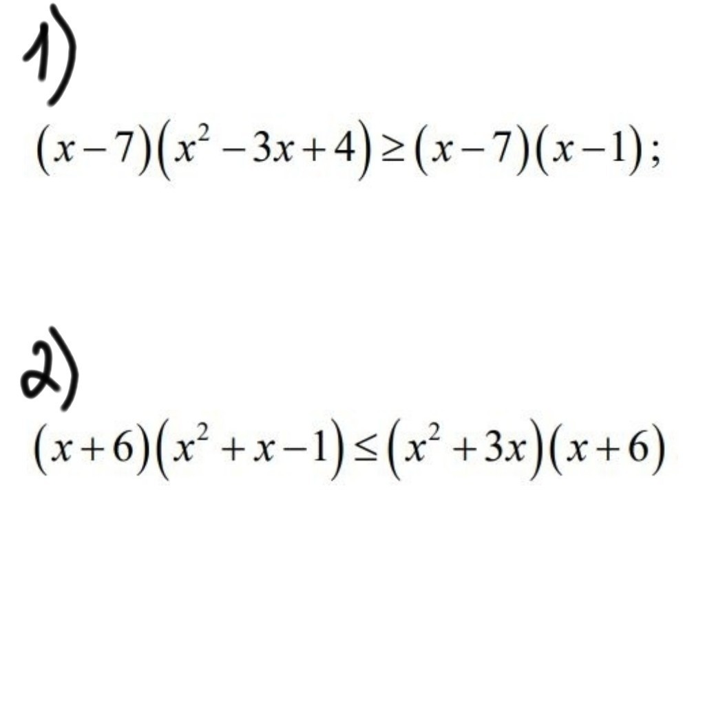
Держи. Извини за грязь.
Приложения:

Ответ дал:
0
1) x² - 4x+5 = (x-2)² +1 > 0 * * * или { D < 0 , a = 1 >0. * * *
Вас заинтересует
2 года назад
2 года назад
3 года назад
9 лет назад
9 лет назад