Ответы
Ответ дал:
0
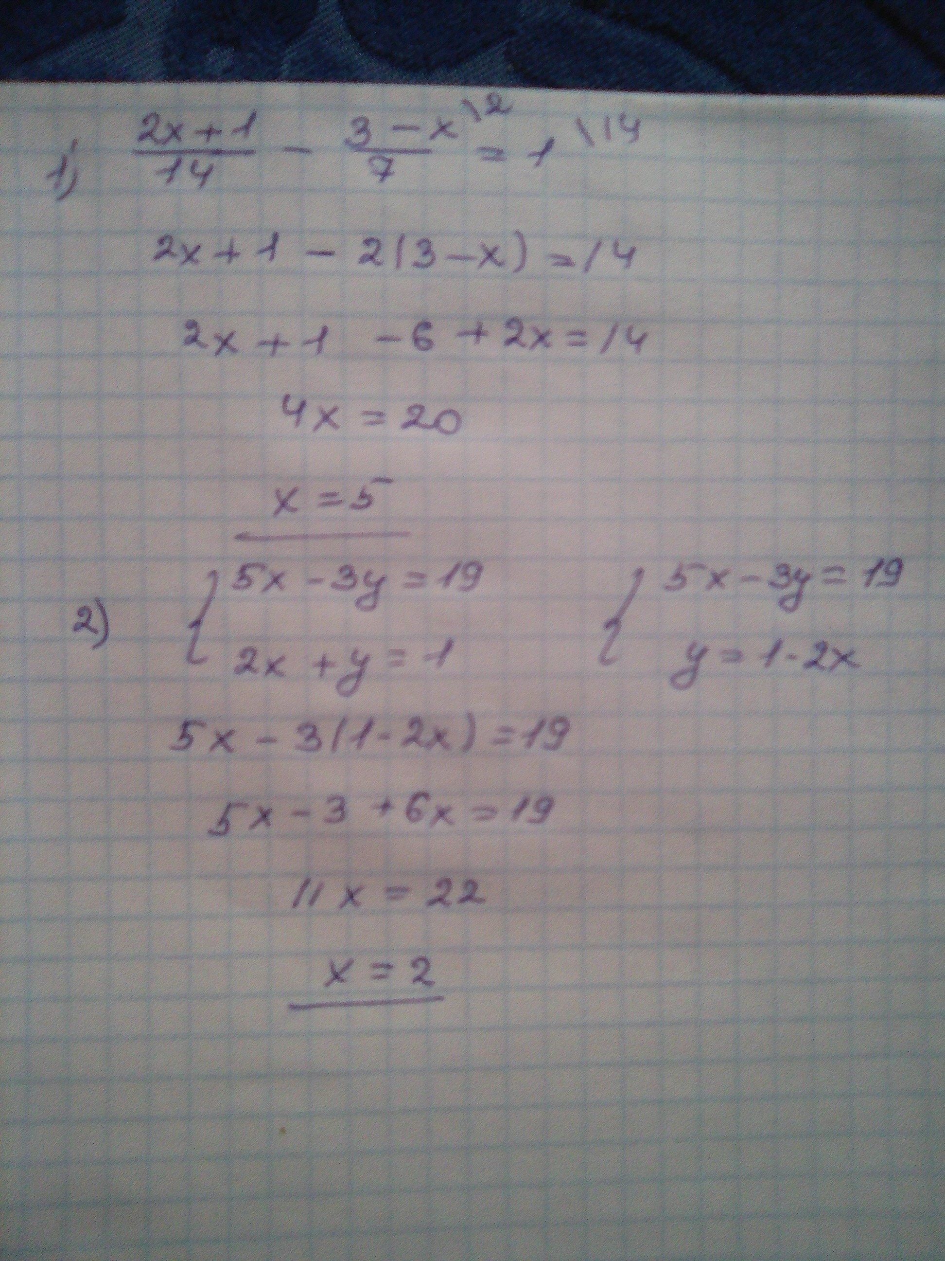
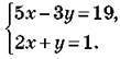
надеюсь правильно....
Приложения:

Ответ дал:
0
Спасибо за ответ
Вас заинтересует
2 года назад
9 лет назад
9 лет назад