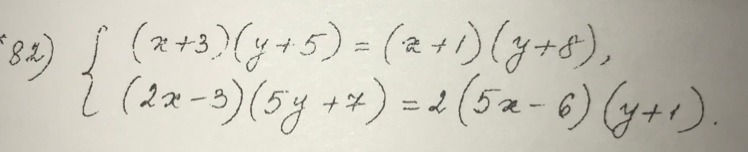
СРОЧНО! ПОМОГИТЕ! БУДУ ОЧЕНЬ БЛАГОДАРНА! Розв’яжіть систему способом додавання (решить систему способом сложения)
Приложения:

Ответы
Ответ дал:
0
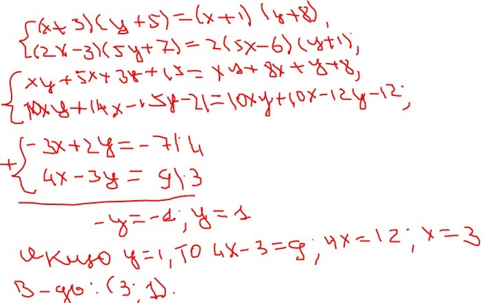
Ответ: x = 3; y = 1
Ответ дал:
0
Розв'язок завдання у вкладенні
Приложения:

Вас заинтересует
2 года назад
3 года назад
3 года назад
9 лет назад
9 лет назад
9 лет назад
9 лет назад