• Предмет: Алгебра
  • Автор: anastasia6594
  • Вопрос задан 8 лет назад

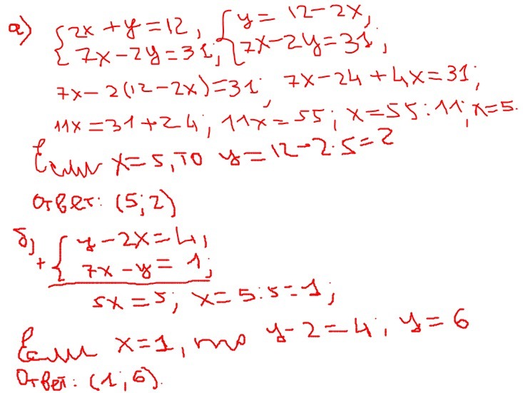
Найдите решение системы уравнений

Приложения:

Ответы

Ответ дал: dakyt
0
вот и все алалутуиуро
Приложения:
Ответ дал: ruslank1460
0

Решение задания во вложении

Приложения:
Ответ дал: ruslank1460
0
И, что тут не так?
Ответ дал: NeZeRAvix
0
Все так :)
Вас заинтересует