• Предмет: Математика
  • Автор: azhara782
  • Вопрос задан 8 лет назад

Сколько будет? Можно побыстрее!

Приложения:

Ответы

Ответ дал: parus77
0

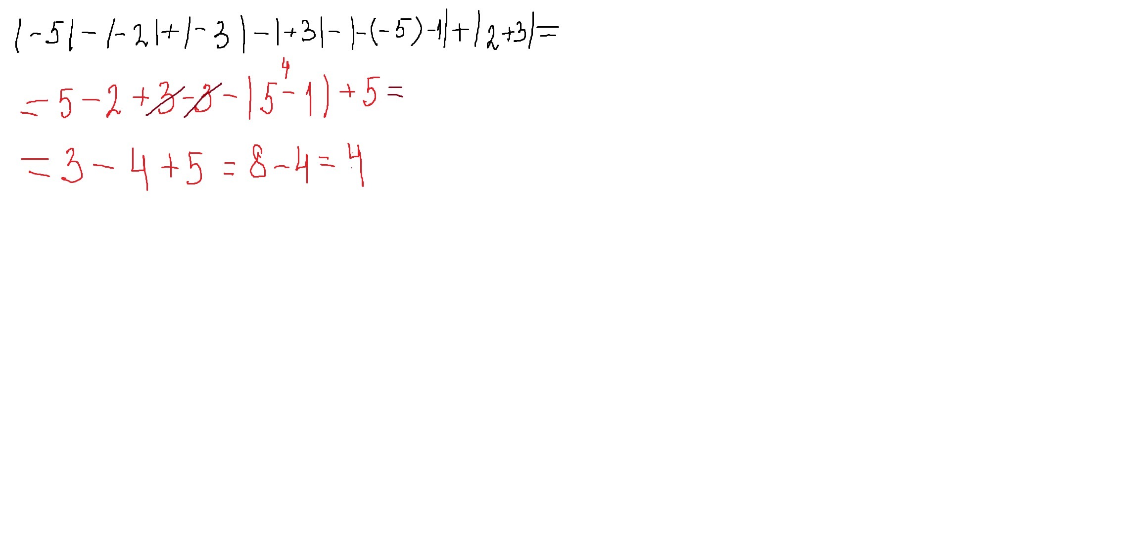
модуль любого числа -есть число положительное.решение смотри внизу.отв.4(В)

Приложения:
Вас заинтересует