Помогите, пожалуйста! 3 в шестой степени умножить на 2 в шестнадцатой степени делить на 24 в пятой степени.
Ответы
Ответ дал:
0
3 ^ 6 × 2 ^ 16 / 24 ^ 5=6
Ответ дал:
0
А как ты решил?
Ответ дал:
0
Объясни
Ответ дал:
0
3 в шестой степени - это 729, умножаю на 65536(2 в 16-й; получаю 2 359 296) и делю на 7962624
такие огромные числа я умножаю и делю с помощью калькулятора, но скорее всего есть способ более простой, но я пока не знаю его.
такие огромные числа я умножаю и делю с помощью калькулятора, но скорее всего есть способ более простой, но я пока не знаю его.
Ответ дал:
0
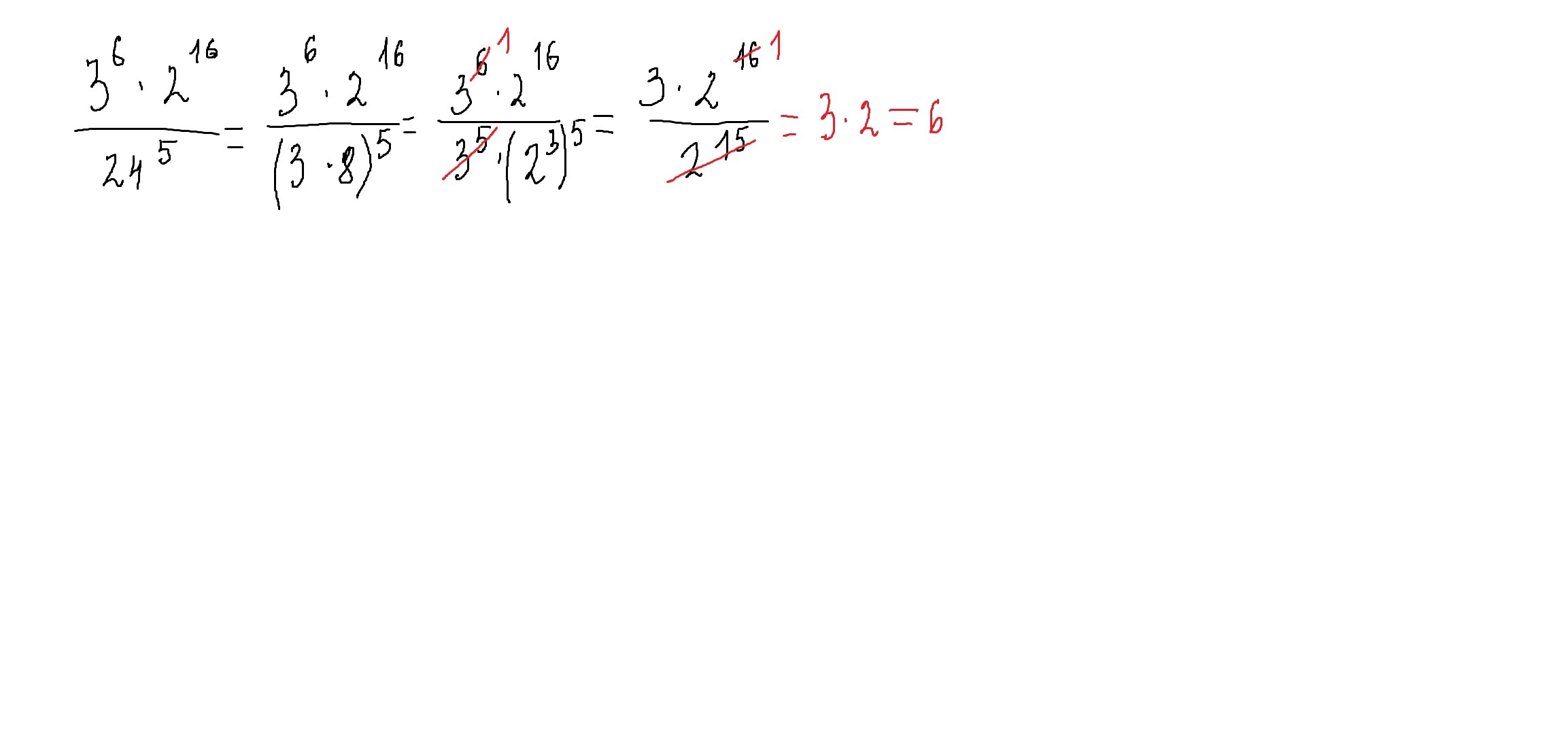
применяем св-во степеней и получаем решение
Приложения:

Вас заинтересует
2 года назад
2 года назад
3 года назад
3 года назад
9 лет назад
9 лет назад