Ответы
Ответ дал:
0
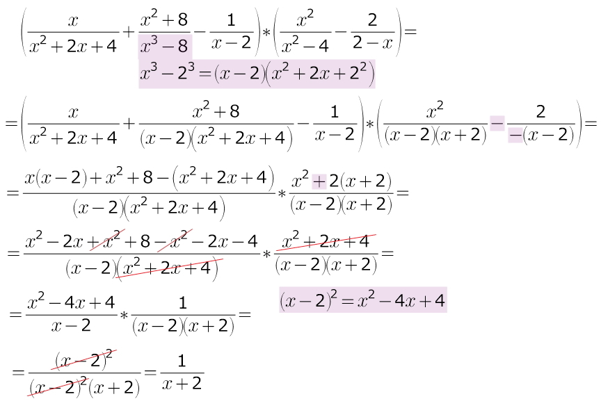
Решение на фото...........................
Приложения:

Ответ дал:
0
редкий случай, когда дроби записаны абсолютно правильно))
в знаменателе первой дроби --неполный квадрат суммы; это часть формулы "разность кубов", которая есть в знаменателе второй дроби...
Приложения:

Вас заинтересует
3 года назад
9 лет назад
9 лет назад
9 лет назад
9 лет назад