• Предмет: Алгебра
  • Автор: Аноним
  • Вопрос задан 8 лет назад

Помогите срочно!
Даю 20б
По действиям,это важно!
И с дополнительными множителями!
Желательно на листике.

Приложения:

Ответы

Ответ дал: Аноним
0

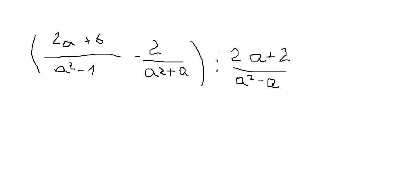
 tt displaystyle bigg(frac{2a+6}{a^2-1}-frac{2}{a^2+a}bigg):frac{2a+2}{a^2-a}=bigg(frac{2(a+3)}{(a-1)(a+1)}-frac{2}{a(a+1)}bigg):frac{2(a+1)}{a(a-1)}=\ \ \ =frac{2a(a+3)-2(a-1)}{a(a+1)(a-1)}:frac{2(a+1)}{a(a-1)}=frac{2a^2+6a-2a+2}{a(a+1)(a-1)}cdotfrac{a(a-1)}{2(a+1)}=\ \ \ =frac{2(a+1)^2cdot a(a-1)}{2a(a+1)^2(a-1)}=1



Ответ: 1.

Вас заинтересует