Пожалуйста помогите;)Буду очень признателен !
Номер:28,29,30
Заранее Спасибо большущие
Приложения:

Ответы
Ответ дал:
0
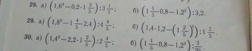
28)
a) 1.6²-0.2*1 3/5=1.6*(1.6-0.2)=2.24
2.24:3 1/5=2.24:3.2=0.7
б) 1 1/5*0.8-1.2²=1.2*(0.8-1.2)=1.2*(-0.4)=-0.48
-0.48:3.2=-0.15
29)
а) 1.8²-1 4/5*2.4=1.8*(1.8-2.4)=1.8*(-0.6)=-1.08
-1.08:4 4/5=-1.08:4.8=-0.225
б) 1.4*1.2-(1 2/5)²)=1.4*(1.2-1.4)=1.4*(-0.2)=-0.28
-0.28:1 2/5=-0.28:1.4=-0.2
Вас заинтересует
2 года назад
3 года назад
9 лет назад
9 лет назад
9 лет назад