помогите,пожалуйста,найти производную функции, исходя из определения производных (с решением)
Приложения:

Ответы
Ответ дал:
0
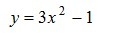
lim(Δx→0)(y(x+Δx)-y(x))/Δx=lim(Δx→0)(3(x+Δx)^2-1)-3x^2+1)/Δx=
=lim(Δx→0)(3Δx^2+6xΔx)/Δx=lim(Δx→0)(3Δx+6x)=6x
Вас заинтересует
2 года назад
2 года назад
3 года назад
9 лет назад
9 лет назад
9 лет назад