Ответы
Ответ дал:
0
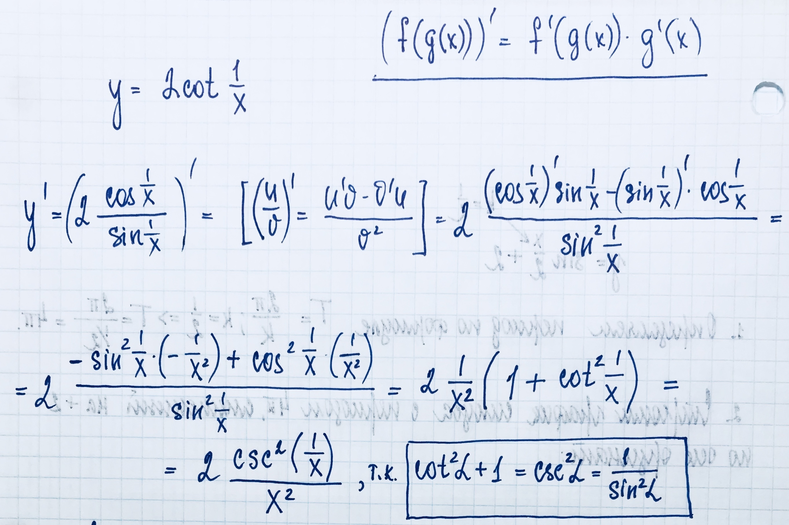
Ловите оба решения. Удачи вам!
p.s. Если вам не очень комфортно опрерировать функциями секанса sec(x)= 1/cos(x) и косеканса csc(x)=1/sin(x), то не упрощайте максимально выражение производной в каждом решении, остановитесь на предпоследнем шаге в каждом из примеров.
Приложения:


Вас заинтересует
2 года назад
2 года назад
3 года назад
9 лет назад
9 лет назад
9 лет назад