• Предмет: Физика
  • Автор: bunnybellybutterfly
  • Вопрос задан 8 лет назад

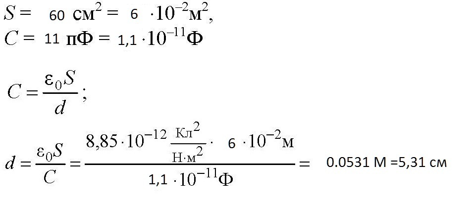
Площадь каждой пластины плоского воздушного конденсатора равна 60см2. На каком расстоянии находятся пластины конденсатора, если его емкость составляет 11пФ?

Ответы

Ответ дал: gost1979
0

Пластины находятся на расстоянии 5,31см

Приложения:
Вас заинтересует