Ответы
Ответ дал:
0
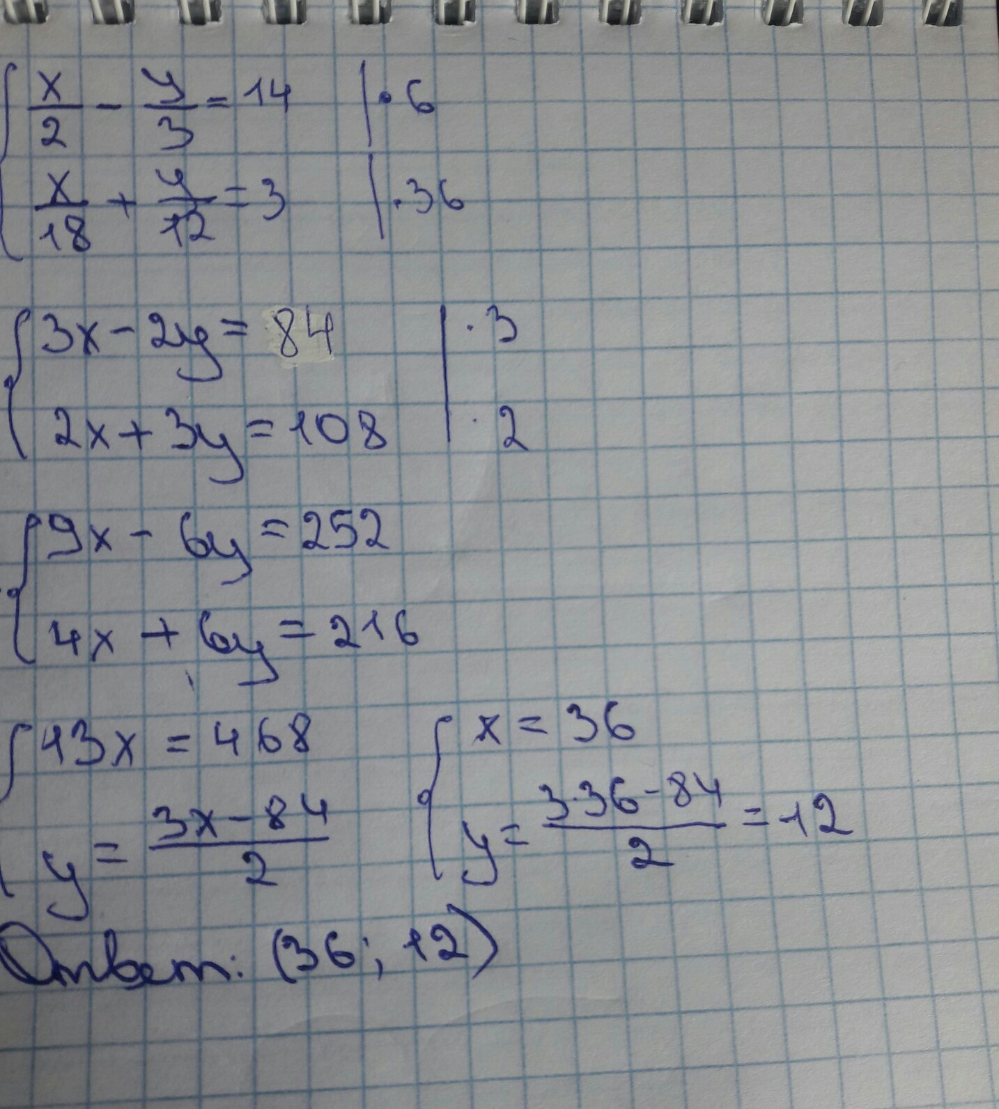
Решение во вложении.
Приложения:

Ответ дал:
0
{ x/2 - y/3 = 14
{ x = 54 - 3/2y
{ 54 - 3/2y/2 - y/3 = 14
y = 12
x = 54 - 3/2 * 12
x = 36
{ 36/2 - 12/3 = 14
{ 36/18 + 12/12 = 3
{ 14 = 14
{ 3 = 3
(x, y) = (36, 12)
{ x = 54 - 3/2y
{ 54 - 3/2y/2 - y/3 = 14
y = 12
x = 54 - 3/2 * 12
x = 36
{ 36/2 - 12/3 = 14
{ 36/18 + 12/12 = 3
{ 14 = 14
{ 3 = 3
(x, y) = (36, 12)
Приложения:

Вас заинтересует
2 года назад
2 года назад
3 года назад
9 лет назад
9 лет назад
9 лет назад