Ответы
Ответ дал:
0
5*(-1)+2*5*i+3i+6=1+13i
Ответ дал:
0
Извини, я почему-то увидел перемножить.
Ответ дал:
0
Ничего,всё равно спасибо.)
Ответ дал:
0
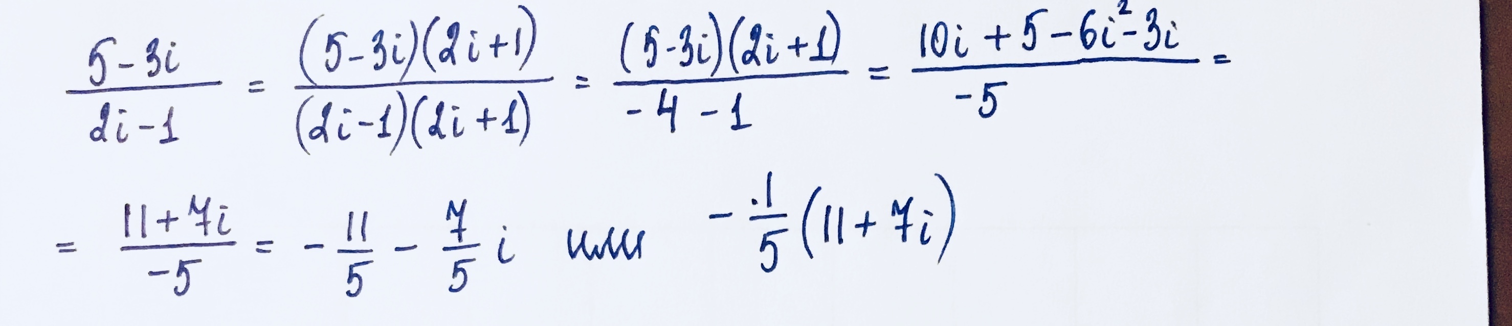
Ловите решение. Домножаем на сопряжённое выражение, упрощаем.
Приложения:

Ответ дал:
0
и как еще получился минус после 11+7i
Ответ дал:
0
2i*2i=4*i^2 =-4, так как i^2=-1 по определению. Таким образом, для всего знаменателя имеем (2i-1)(2i+1)= (2i)^2-1^2= -4-1=-5.
Ответ дал:
0
Чтобы получить (11+7i)/(-5)= -11/5-7i/5 просто делим почленно положительный числитель на отрицательный знаменатель.
Ответ дал:
0
Брат, можешь помочь с этим. Выполнить действия 1) (7+i)+(-4+2i)=
2) (3-3i)-(-i)=
3)(7+i+(-i)*(-4+2i)=
4)7+i : 3-3i=
5) -i : 7+i=
Могу отблагодарить денежкой.Очень нужно.
2) (3-3i)-(-i)=
3)(7+i+(-i)*(-4+2i)=
4)7+i : 3-3i=
5) -i : 7+i=
Могу отблагодарить денежкой.Очень нужно.
Ответ дал:
0
Всё,разобрался.
Вас заинтересует
2 года назад
2 года назад
3 года назад
3 года назад
9 лет назад
9 лет назад
9 лет назад