• Предмет: Математика
  • Автор: thlflesmrlep
  • Вопрос задан 8 лет назад

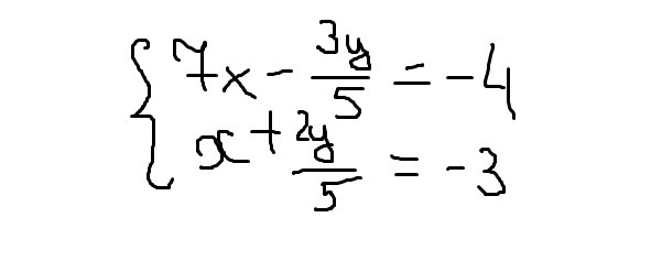
Решите систему уравнений методом подстановки:

Приложения:

Ответы

Ответ дал: snow99
0

7x -  frac{3y}{5}  =  - 4 \ x +  frac{2y}{5}  =  - 3 \  \ x =  - 3 -  frac{2y}{5}  \ 7( - 3 -  frac{2y}{5} ) -  frac{3y}{5}  =  - 4 \  \ x =  - 3 -   frac{2y}{5}  \  - 21 -  frac{14y}{5}  -  frac{3y}{5}  =  - 4 \  \  \ x =  - 3 -  frac{2y}{5}  \  -  frac{17y}{5}  = 17 \  \  x =  - 3 -  frac{2y}{5}  \  - 17y = 85 \  \ y =  - 5 \ x =  - 3 -  frac{2y}{5}  \  \ y =  - 5 \ x =  - 3 -  frac{2 times ( - 5)}{5}  =  - 3 + 2 =  - 1
Ответ: (-1; -5)
Ответ дал: thlflesmrlep
0
хм а почему +2 в конце? ведь 2*(-5)=-10, -10/5=-2 и -3-2 = 5? господи неужели я такой глупый аххахаа
Ответ дал: snow99
0
-3-(-2)
Ответ дал: snow99
0
-3 + 2 = -1
Ответ дал: thlflesmrlep
0
все, понял, спасибо. даже забыл про этот минус аххахаха
Ответ дал: snow99
0
=)
Вас заинтересует