• Предмет: Алгебра
  • Автор: NastyaBagustya
  • Вопрос задан 8 лет назад

срочно пожалуйста помогите

Приложения:

Ответы

Ответ дал: ХЕЛИКОПТЕР
0
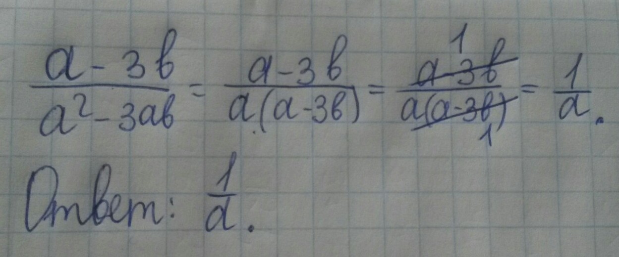
Вот решение. Удачи :)
Приложения:
Ответ дал: NastyaBagustya
0
помогать мне будете по математике
Ответ дал: ХЕЛИКОПТЕР
0
Хорошо
Ответ дал: NastyaBagustya
0
Спасибо я очень рада
Ответ дал: NastyaBagustya
0
завтра опять алгебре поможите мне хорошо
Ответ дал: ХЕЛИКОПТЕР
0
Хорошо
Вас заинтересует