• Предмет: Алгебра
  • Автор: ПеФенькО
  • Вопрос задан 8 лет назад

помогите. способом подстановки. заранее спасибо

Приложения:

Ответы

Ответ дал: oganesbagoyan
0

task/29388945                                                                                                              ----------------------

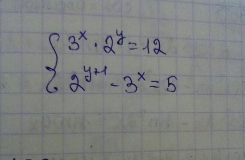
решите систему { (3^x)*(2^y) =12 ; 2^(y+1) - 3^x =5.  способом постановки .

-------

{ (3^x)*(2^y) =12 ; 2^(y+1) - 3^x =5.  

|| постановка :  3^x =u   , 2^y =v  , ясно  u > 0 и v >0.||

{ uv = 12 ; 2v - u = 5. ⇔{ uv = 12 ; u = 2v - 5. ⇔{ (2v - 5)v  = 12 ; u  =2v - 5.

(2v - 5)v =12 ;

2v² -5v -12 =0    D =5² -4*2*(-12)=121= 11²

v₁    =(5 - 11)/4 = -3/2 < 0  → посторонний  корень

v₂  =(5+11)/4 =4  обратная замена   2^y = 4 ⇔ 2^y =2²  ⇒ y =2.

u =2v - 5 =2*4 -5 =3  , т.е . 3^x =3 ⇔  x =1.

Ответ :   x =1 ,  y =2 .



Вас заинтересует