• Предмет: Алгебра
  • Автор: illuminat312
  • Вопрос задан 8 лет назад

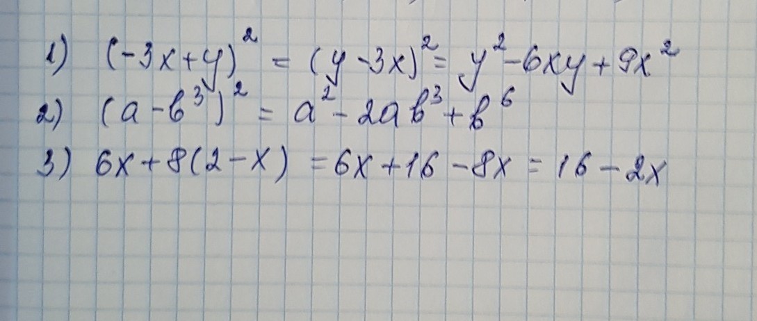
решите пожалуйста эти примеры: 1)(-3x+y)^2. 2) (a-b^3)^2. 3)6x+8(2-x)

Ответы

Ответ дал: 1233090
0
решение задания смотри на фотографии
Приложения:
Вас заинтересует