• Предмет: Алгебра
  • Автор: oksanavinitska
  • Вопрос задан 8 лет назад

Помогите решить систему
Очень прошу

Приложения:

Ответы

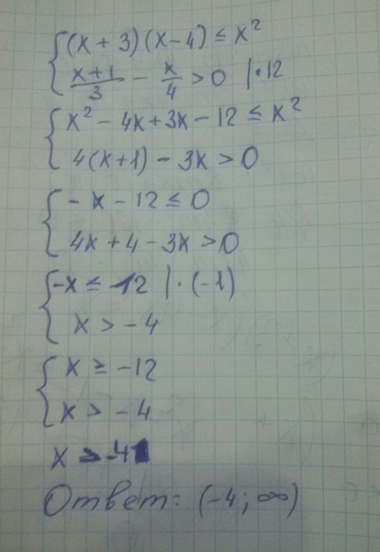
Ответ дал: Единорожек34
0
Решение во вложении.
Приложения:
Ответ дал: oksanavinitska
0
Спасибо
Ответ дал: oganesbagoyan
0

13 баллов  (сколько символов в первом неравенстве системы)

{ (x+3)(x-4)  ≤  x² ; (x+1)/3 -x/4 >0 .⇔  { x² - 4x +3x -12  ≤ ; (4x+4 -3x) /12> 0. ⇔

{ - x - 12  ≤ 0 ; x+4 > 0.  ⇔ { - 12  ≤  x ; x > - 4 .  ⇒ x > - 4 .

ответ :  x ∈( - 4 ;  ∞) .


Приложения:
Вас заинтересует