• Предмет: Алгебра
  • Автор: jyrfjyfj556655
  • Вопрос задан 8 лет назад

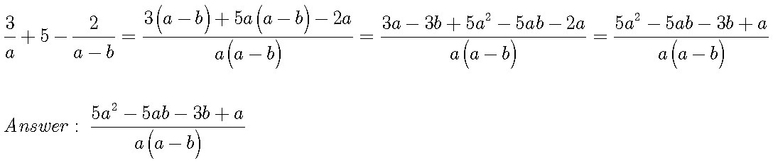
3/a+5-2/a-b(пожааааааааааааааалуста)

Ответы

Ответ дал: Аноним
0

Решение смотрите во вложении

Приложения:
Ответ дал: Аноним
0

__________________
Готово!!Удачи))
______________________

Приложения:
Вас заинтересует