Ответы
Ответ дал:
0
первое действие
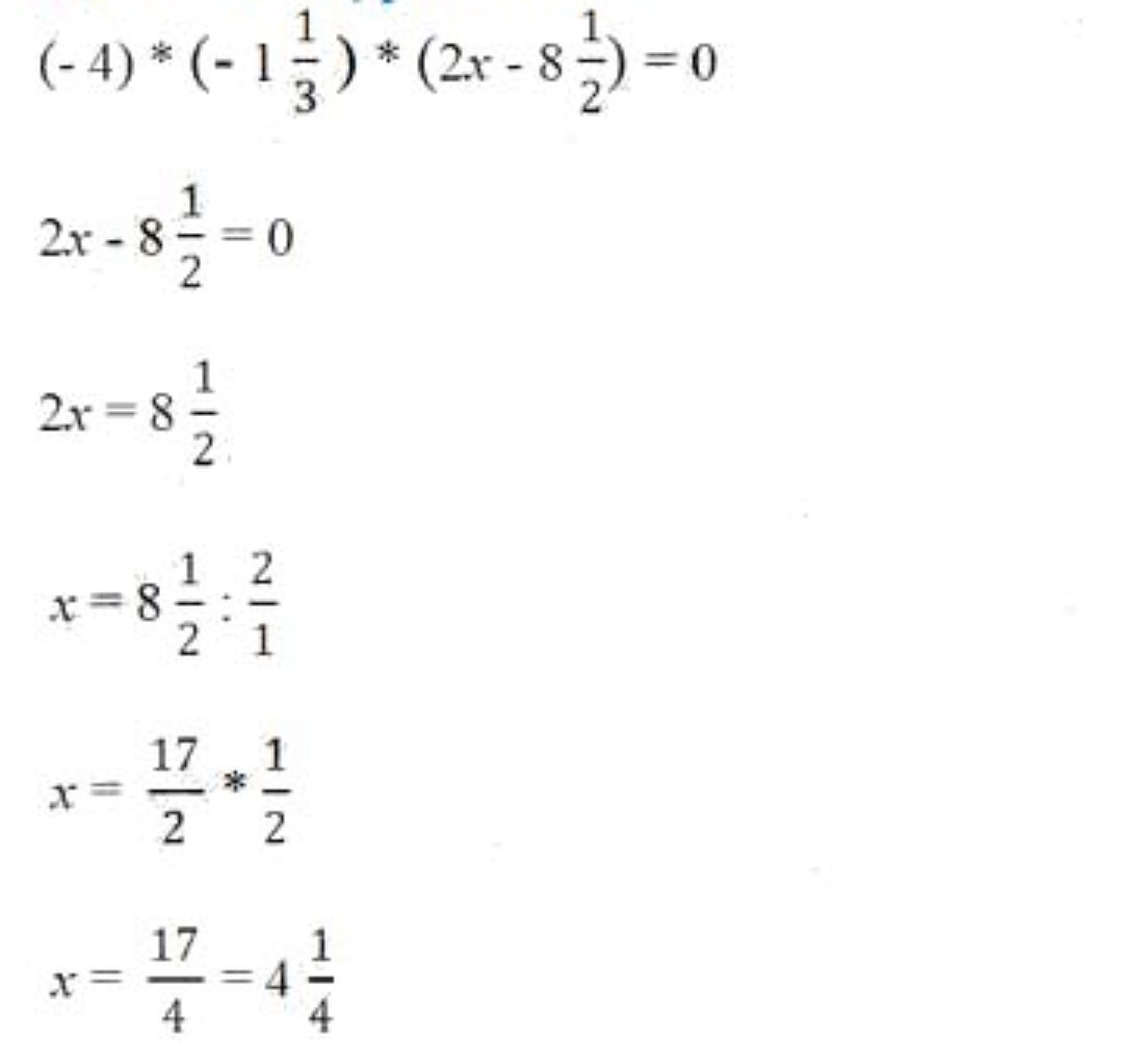
мы делим обе части уравнения на неравные нулю множители (-4)(-1⅓)
переносим все слагаемые с неизвестным влево, а свободные члены вправо
Потом приводим 8½ к виду неправильной дроби
И заменяем операцию деления на 2, равносильной ей операцией умножения на ½
мы делим обе части уравнения на неравные нулю множители (-4)(-1⅓)
переносим все слагаемые с неизвестным влево, а свободные члены вправо
Потом приводим 8½ к виду неправильной дроби
И заменяем операцию деления на 2, равносильной ей операцией умножения на ½
Вас заинтересует
2 года назад
2 года назад
3 года назад
9 лет назад
9 лет назад
10 лет назад