• Предмет: Алгебра
  • Автор: plisetskaya43
  • Вопрос задан 8 лет назад

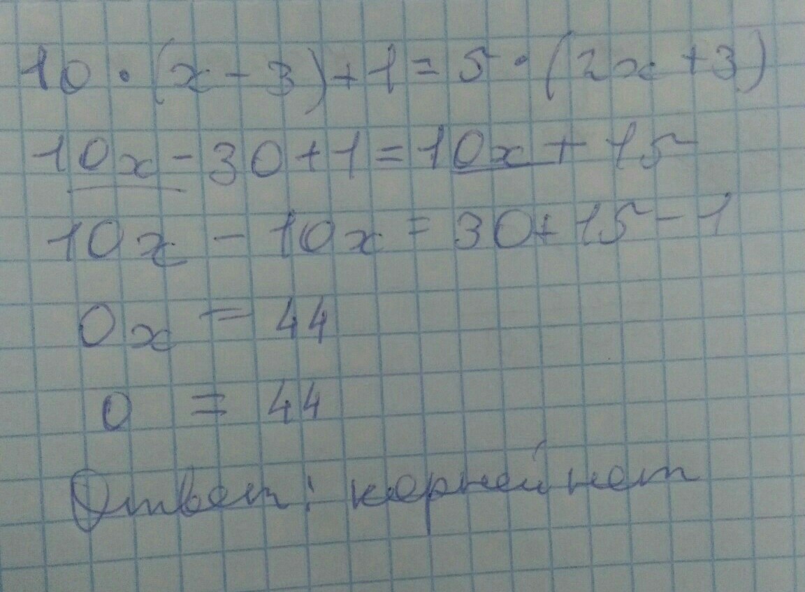
10*(x-3)+1=5*(2x+3)
Хелп ми плиз

Ответы

Ответ дал: lizzie4
0
Я немного путаюсь в ответах таких уравнений, но тем не менее...
Приложения:
Ответ дал: Эдик1249
0
10х-30+1=10х+15
10х-29=10х+15
10х сокращается
-29=15
УРАВНЕНИЕ ЛОЖНОЕ!
Приложения:
Вас заинтересует