Ответы
Ответ дал:
0
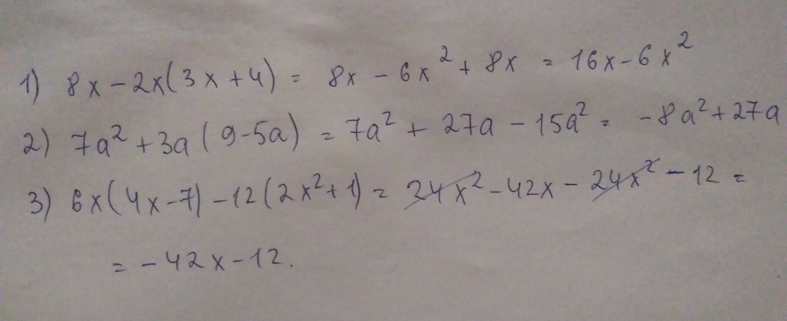
1)8x - 6x²-8x = -6x² 2) 7a² + 27a - 15a² = 27a - 8a² 3) 24x² - 42x - 24x² - 12 = - 42x - 12
Ответ дал:
0
Вообще, можешь ещё найти в плеймарките приложение, которое по фото считает примеры. По русски называется фото математика
Ответ дал:
0
......................
Приложения:

Ответ дал:
0
там в первом прости -6х^2
Вас заинтересует
2 года назад
3 года назад
9 лет назад
9 лет назад