• Предмет: Алгебра
  • Автор: viktorlebedev2002kry
  • Вопрос задан 8 лет назад

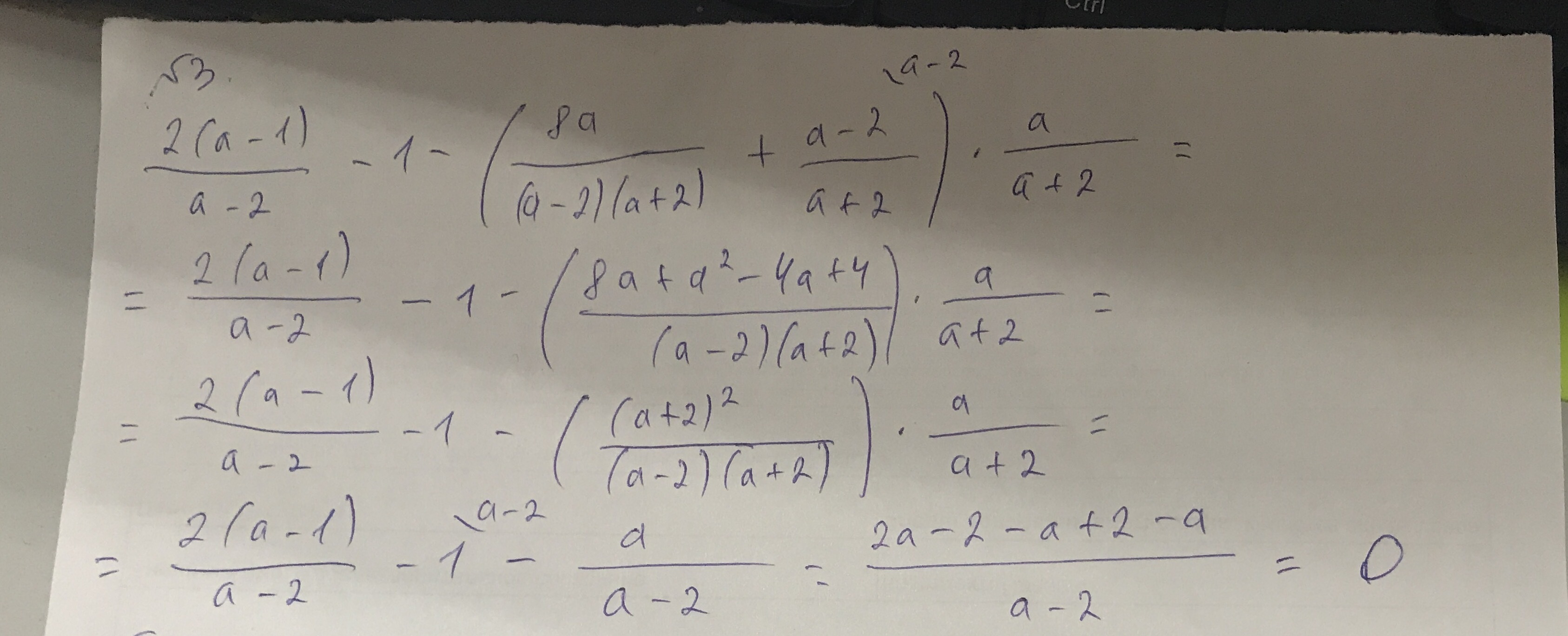
Упростить выражение


2а-2/a-2 -1 - (8a/a2-4 + a-2/a+2) * a/a+2

Ответы

Ответ дал: Evgenia4836
0

Решение во вложении:

Приложения:
Вас заинтересует