• Предмет: Алгебра
  • Автор: Kudo1Stolen
  • Вопрос задан 8 лет назад

Помогите пожалуйста,не умею решать такие примеры а скоро экзамены!!!!!

Приложения:

Ответы

Ответ дал: snow99
0

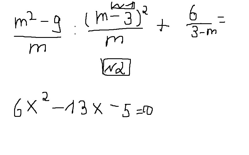
 frac{ {m}^{2} - 9 }{m}  div  frac{ {(m - 3)}^{2} }{m} +  frac{6}{3 - m}   =  frac{(m - 3)(m + 3)}{m}  times  frac{m}{ {(m - 3)}^{2} }   -   frac{6}{m - 3}  =  frac{m + 3}{m - 3}  -  frac{6}{m - 3}  =  frac{m + 3 - 6}{m - 3}  =  frac{m - 3}{m - 3}  = 1
6 {x}^{2}  - 13x - 5 = 0 \ d =  {b}^{2}  - 4ac = 169 - 4 times 6 times ( - 5) = 169 + 120 = 289 \ x1 =  frac{13 + 17}{2 times 6}  =  frac{30}{12}  =  frac{5}{2} \ x2 =  frac{13 - 17}{2 times 6}   =  frac{ - 4}{12}  =  -  frac{1}{3}
Ответ: -1/3; 5/2.
Вас заинтересует