Ответы
Ответ дал:
1
++++++++++++++++++++++++++++++++++++++
Приложения:

Ответ дал:
1
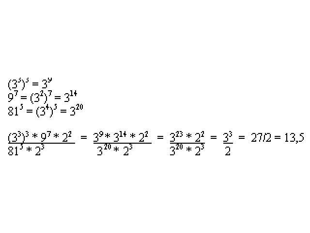
Ответ получился таковым
Приложения:

Вас заинтересует
1 год назад
1 год назад
2 года назад
2 года назад
3 года назад
3 года назад
8 лет назад