• Предмет: Алгебра
  • Автор: andrijnagorny
  • Вопрос задан 8 лет назад

ПОМОГИТЕ!!! СРОЧНО!!! ДАЮ 35 БАЛЛОВ, НЕ ОСОБО СЛОЖНО, ПРОШУ!!!

Приложения:

Ответы

Ответ дал: oganesbagoyan
0

ask/29406220                                                                                                               ----------------------

1.19 . (√28 - √12) *√(10 +√84) =2(√7- √3)*√(7 +2√7*√3 +3) =2(√7- √3) *√(7 +√3)² =  2(√7- √3) *(7 +√3) =2( (√7)²- (√3)² ) =2(7 -3) =2*4   = 8 .

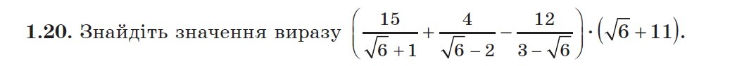
1.20 . ( (15 / (√6 +1) +4 / (√6 -2) - 12 / (3 -√6)  ) *(√6+11 ) =                                                ( (3(√6 -1) +2(√6+2) - 4( 3 +√6 ) ) *(√6+11 )= (3√6 -3 +2√6 +4 -12- 4√6)*(√6+11 ) = (√6 -11)*(√6+11 ) =(√6)² -11² =6 -121   = -115 .

Удачи !


Вас заинтересует