• Предмет: Математика
  • Автор: nosurnamemixp9tcuw
  • Вопрос задан 8 лет назад

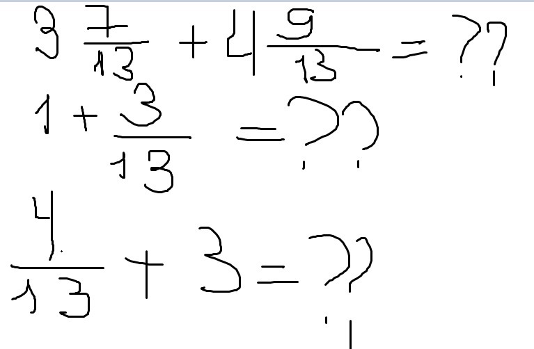
помогите решить 3
 примера с дробью. Внимательно!!!!

Приложения:

Ответы

Ответ дал: snow99
0

3 frac{7}{13}  + 4 frac{9}{13}  = 7 frac{16}{13}  = 8 frac{3}{13}
1 +  frac{3}{13}  = 1 frac{3}{13}
 frac{4}{13}  + 3 = 3 frac{4}{13}
Вас заинтересует