• Предмет: Алгебра
  • Автор: brainlu15
  • Вопрос задан 8 лет назад

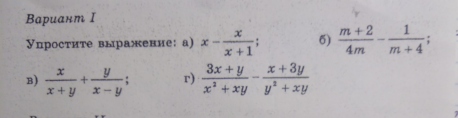
Нужна помощь. АЛГЕБРА.
Нужна помощь. АЛГЕБРА.
совсем забыл за лето как делать, особенно пример - б.
упростите выражение.

Приложения:

Ответы

Ответ дал: gnomiha211
0
Решение на фотографии
Приложения:
Вас заинтересует