Ответы
Ответ дал:
0
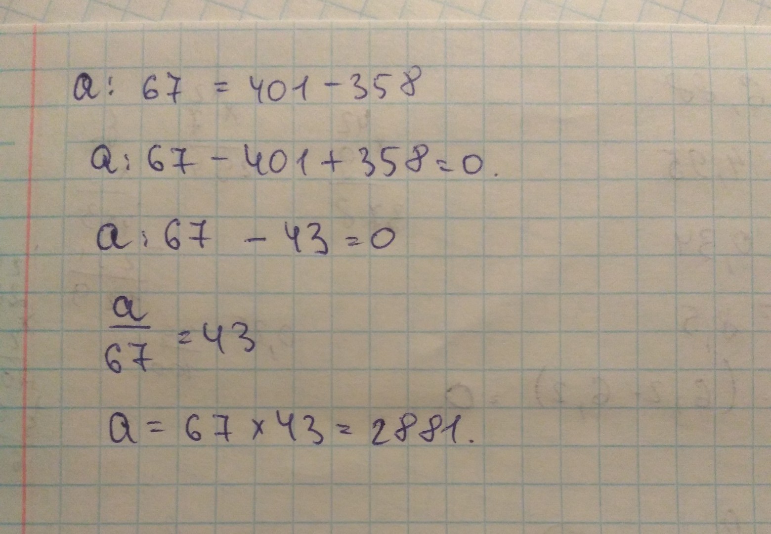
А : 67 = 401 - 358
А : 67 = 43
А = 67 * 43
А = 2881
Удачи)
Ответ дал:
0
спасибо большое
Ответ дал:
0
спасибо большое!!!!!!!!
Ответ дал:
0
подпишись, всегда помогаю чем могу
Приложения:

Вас заинтересует
2 года назад
3 года назад
9 лет назад
9 лет назад
9 лет назад