• Предмет: Алгебра
  • Автор: Sk4rlet
  • Вопрос задан 8 лет назад

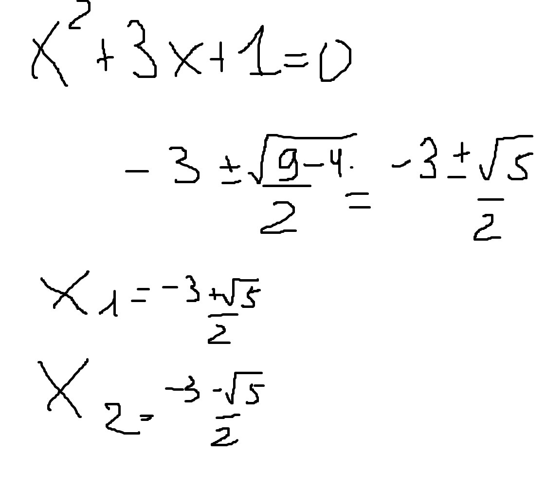
x^2+3x+1=0
Помогите решить!!!!!

Ответы

Ответ дал: Beaver4000
0

Заранее извиняюсь за почерк.

Приложения:
Вас заинтересует