Ответы
Ответ дал:
0
1)

2)
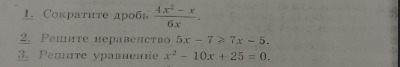
5x - 7 ≥ 7x - 5
5x - 7x ≥ - 5 + 7
-2x ≥ 2 |:(-2)
x ≤ -1
3) x² - 10x + 25 = 0
(x - 5)² = 0
x - 5 = 0
x = 0
2)
5x - 7 ≥ 7x - 5
5x - 7x ≥ - 5 + 7
-2x ≥ 2 |:(-2)
x ≤ -1
3) x² - 10x + 25 = 0
(x - 5)² = 0
x - 5 = 0
x = 0
Ответ дал:
0
Можешь еще вот это сделать?
https://znanija.com/task/29409691
https://znanija.com/task/29409710
https://znanija.com/task/29409717
https://znanija.com/task/29409691
https://znanija.com/task/29409710
https://znanija.com/task/29409717
Вас заинтересует
2 года назад
3 года назад
3 года назад
9 лет назад
9 лет назад
10 лет назад
10 лет назад