• Предмет: Математика
  • Автор: zum01051960
  • Вопрос задан 8 лет назад

Помогите решить пример. Нужно очень. Помогите.

Приложения:

Ответы

Ответ дал: natakruglova2017
1

3 5/6 * 7/23=23/6*7/23=7/6

2 5/6 +7/6=17/6+7/6=24/6

24/6-3/5=72/30                                                                                                                                                    1 1/22 *3 2/3=23/22*11/2=23/2

23/2-72/30=265/30-72/30=133/30



Ответ дал: parus77
0

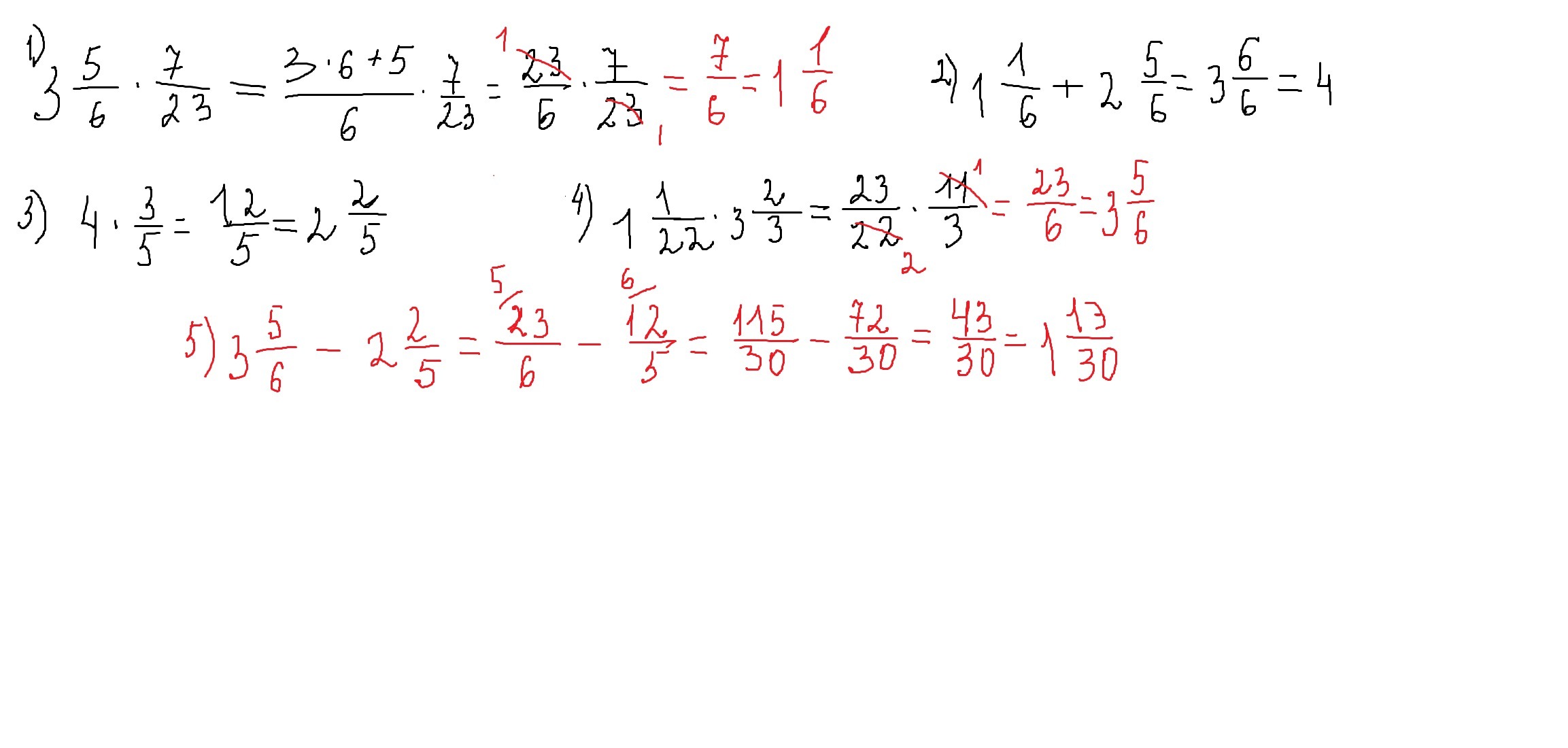
решение по действиям смотри внизу

Приложения:
Вас заинтересует