• Предмет: Алгебра
  • Автор: seda959595eandex
  • Вопрос задан 8 лет назад

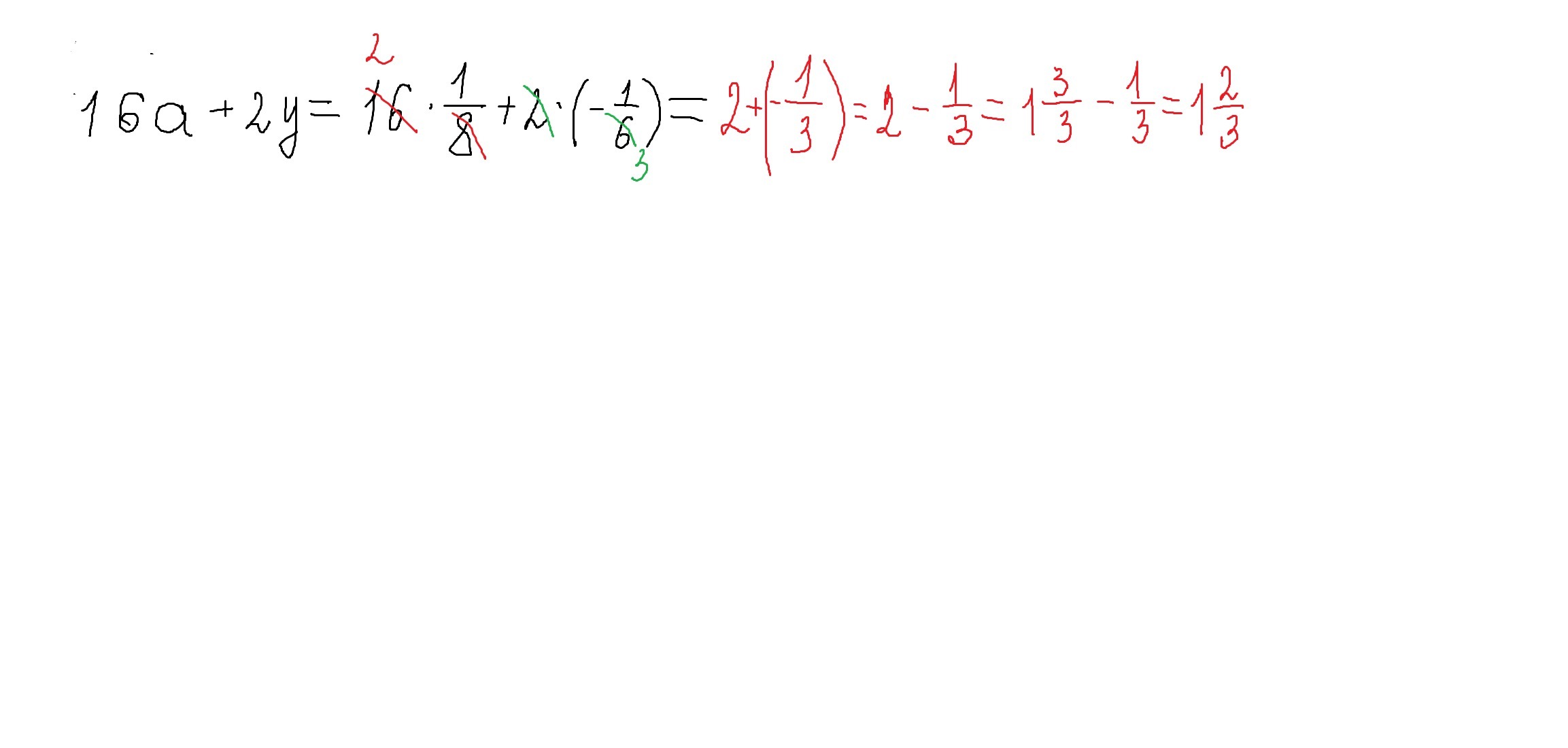
пример: 16а+2у при а=1/8, у= -1/6
ответ: 16а+2у=16*1/8+2(-1/6)= -1,1
1) 16/1*1/8=2/1=2
2) 2/1*(-1/6)=1/3
3) 2+(-1/3)= -2/1+1/3= -3/4= -1/1

Ответы

Ответ дал: parus77
0

вот мое решение внизу.А в ваших ответах я не смогла разобраться.

Приложения:
Вас заинтересует