• Предмет: Математика
  • Автор: Zhasikus
  • Вопрос задан 8 лет назад

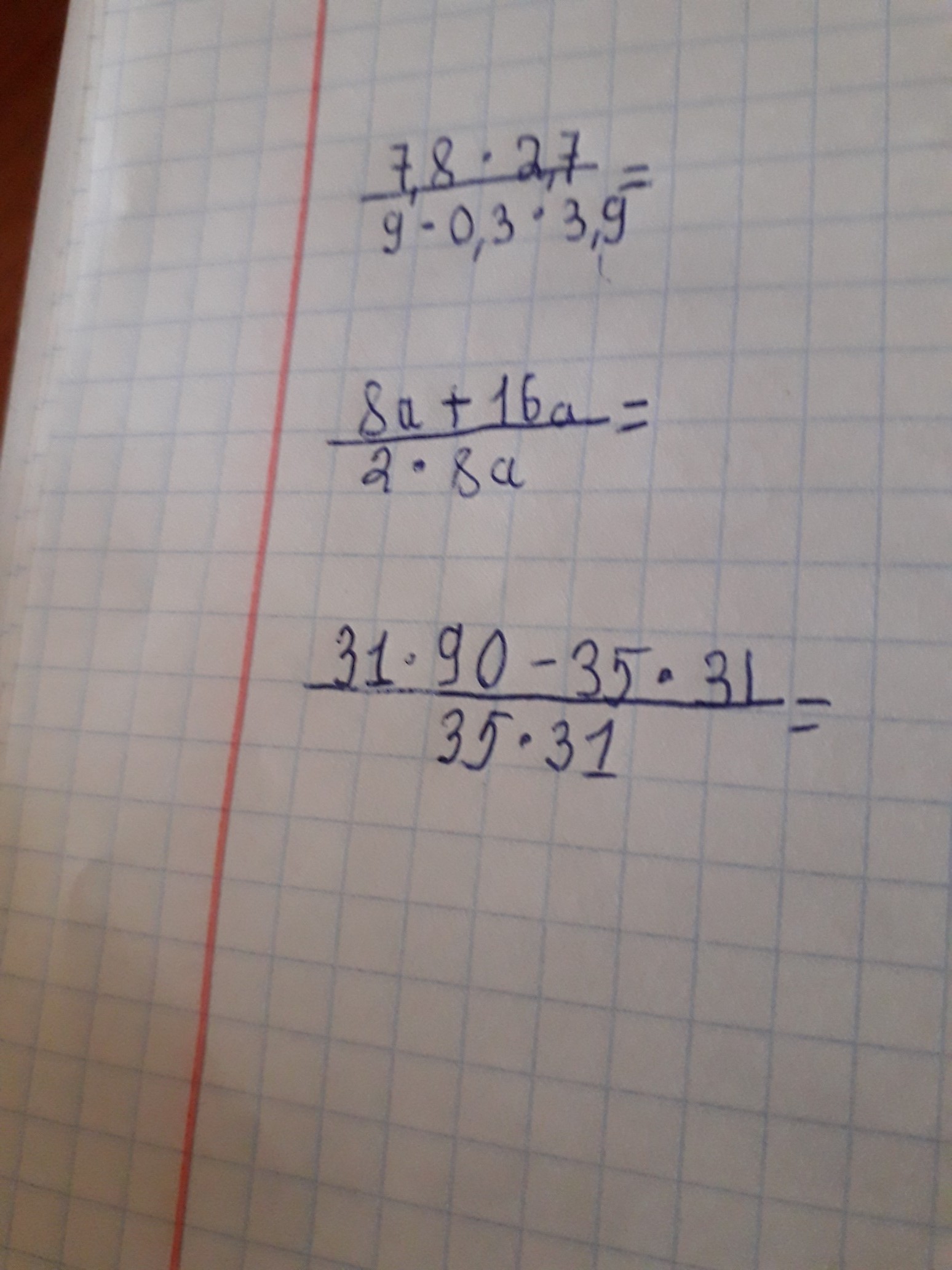
математика. помогите

Приложения:

Ответы

Ответ дал: ekreshchenovskiy
0

1) Ответ 2 . Там все очень просто 7,8 сокращаем с 3,9 , получается, что вместо 7,8 получается 2 , а вместо 3,9 получается 1 .  Потом 9 сокращаешь с 2,7 , получается вместо 9 цифра 1 , а вместо 2,7 получается 0,3 . Потом просто сокращаем 0,3 с 0,3 и у нас получается выражение 2/1  в итоге ответ 2

2) в числителе выносим за скобку 8a получается   8а(1 + 2) , теперь сокращаем 8а в числителе и знаменателе в итоге получается  1 + 2  в числителе и 2 в знаменателе   вообщем Ответ 3,5

3) числитель делим на два слагаемых при том у каждого слогаемого будет этот знаменатель 35 * 31       первый слогаемый в числителе будет 31 * 90   во втором будет -35 * 31 между слагаемыми будет + . Потом в первом слагаемом сокращаем 31 в числителе и знаменателе , затем там же сокращаем 90 и 35 на 5  вместо 90 получается 18 , а вместо 35 получается 7 . Во втором слагаемом мы сокращаем 31 в числителе и знаменателе , затем сокращаем -35 в числителе и 35 в знаменателе, вместо -35 в числителе у нас получиться -1. В итоге у нас получается         2 4/7 - 1  Ответ 1 4/7

Вас заинтересует