• Предмет: Алгебра
  • Автор: BRODYAGA03
  • Вопрос задан 8 лет назад

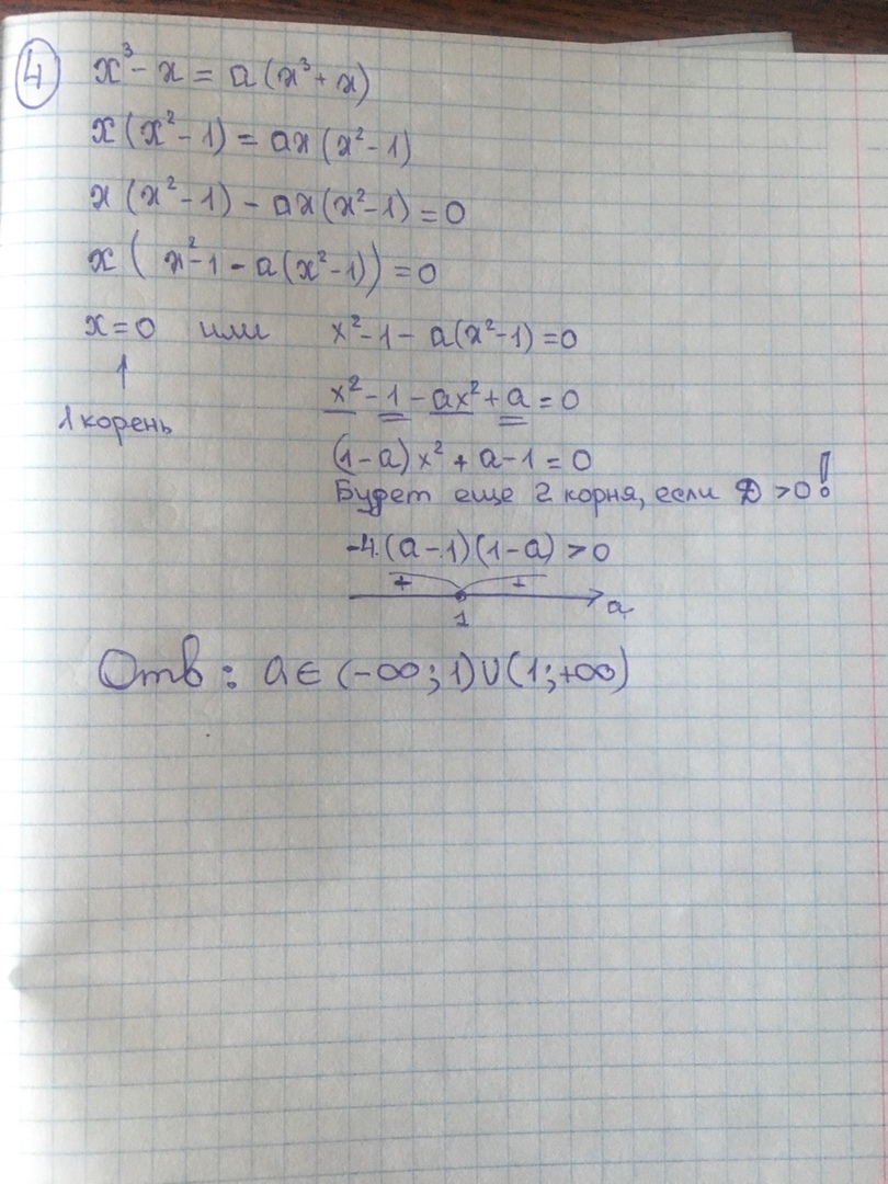
Номер 58,4 и 5 номер.Читайте внимательно задание и пишите все подробно,никакое действие не сокращая.Извините за разворот фото.Спасибо

Приложения:

Ответы

Ответ дал: golikekaterina
0

Предположительно задание 58(4)

Приложения:
Вас заинтересует