Ответы
Ответ дал:
0
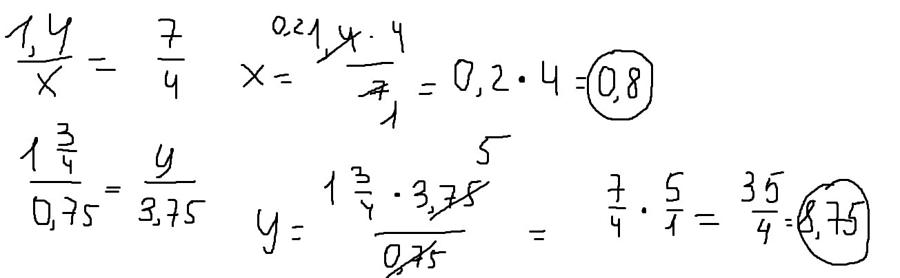
X = 0,8
Y=8,75
Заранее извиняюсь за почерк.
Приложения:

Вас заинтересует
2 года назад
2 года назад
3 года назад
3 года назад
9 лет назад