Как построить график этой функции, уравнение сделанное есть, как построить график, чертить необязательно, напишите словами, пожалуйста.
Приложения:

Ответы
Ответ дал:
0
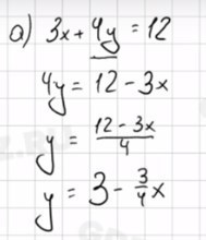
у=3-¾х
это уравнение прямой
А чтобы задать прямую, можно просто задать две точки
например. зададим
первую точку
х¹=0
тогда у¹=3-¾х¹=3-¾*0=3
(0,3) первая точка
зададим вторую
х²=4
у²=3-¾х²=3-¾•4=3-3=0
(4,0) вторая точка
это уравнение прямой
А чтобы задать прямую, можно просто задать две точки
например. зададим
первую точку
х¹=0
тогда у¹=3-¾х¹=3-¾*0=3
(0,3) первая точка
зададим вторую
х²=4
у²=3-¾х²=3-¾•4=3-3=0
(4,0) вторая точка
Приложения:

Ответ дал:
0
А смотря что спрашивается. Вы просили график, вот он и есть ответ
Ответ дал:
0
Спасибо за график
Ответ дал:
0
Не могли бы Вы снова помочь?:(
Ответ дал:
0
Если Вы еще здесь, у меня создан вопрос
Ответ дал:
0
смотрите. это совсем другая история
Вас заинтересует
2 года назад
2 года назад
3 года назад
9 лет назад
9 лет назад
9 лет назад