Как подставлять число в полученное уравнение, можно с примером. Подставлять, чтобы построить график.
Приложения:
Ответы
Ответ дал:
0
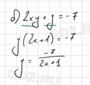
Ну здесь уже график - не прямая у Вас. Зависимость нелинейная.
Подстановки значений и нахождение двух точек - это способ для прямых
Надо исследовать функцию или строить, беря множество точек с небольшим шагом
Например так
берём х=0
при нем
у=-7/(2х+1)= -7/(2*0+1)= -7
берем
х=1
у=-7/(2х+1)= -7/(2*1+1)=-7/3
и т д
Ваша функция не определена при 2х+1=0
то есть при х=-1/2 это ассимптота графика ( красная линия)
График выглядит примерно так ( синий цвет)
Подстановки значений и нахождение двух точек - это способ для прямых
Надо исследовать функцию или строить, беря множество точек с небольшим шагом
Например так
берём х=0
при нем
у=-7/(2х+1)= -7/(2*0+1)= -7
берем
х=1
у=-7/(2х+1)= -7/(2*1+1)=-7/3
и т д
Ваша функция не определена при 2х+1=0
то есть при х=-1/2 это ассимптота графика ( красная линия)
График выглядит примерно так ( синий цвет)
Приложения:
Вас заинтересует
2 года назад
2 года назад
3 года назад
9 лет назад
9 лет назад
10 лет назад
10 лет назад