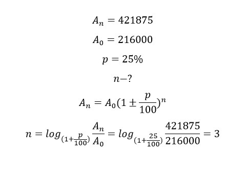
Известно, что ставка банковского процента равна 25%. Определит, через сколько лет начальный вклад 216 000 рублей возрастет до 421 875 рублей.
Ответы
Ответ дал:
0
Ответ: через 3 года. Решение прикрепил.
Приложения:

Вас заинтересует
2 года назад
2 года назад
3 года назад
3 года назад
9 лет назад