• Предмет: Математика
  • Автор: FunFace
  • Вопрос задан 8 лет назад

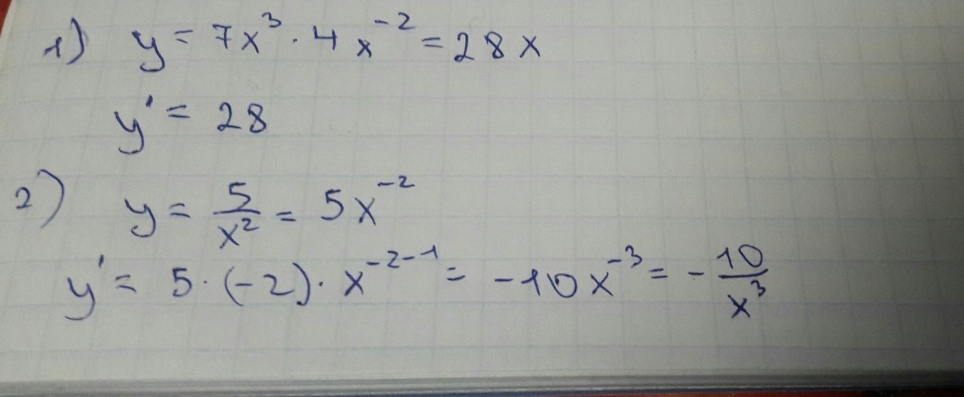
Найти производные ф-ций (с решением):
1) y=7x^3 * 4x^-2

2) y=5/x^2

Ответы

Ответ дал: snow99
0
Решение во вложении.
Приложения:
Вас заинтересует