• Предмет: Математика
  • Автор: annnnna5765
  • Вопрос задан 8 лет назад

помогите пожалуйста!!!

Приложения:

Ответы

Ответ дал: kuku79
0

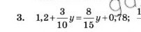
1,2-0.78=8/15у-3/10у 0.42=16/30у-9/30у 0.42=7/30у У=0.42÷7/30 У=21/50×30/7 У=45/25=1ц4/5

Вас заинтересует