Ответы
Ответ дал:
0
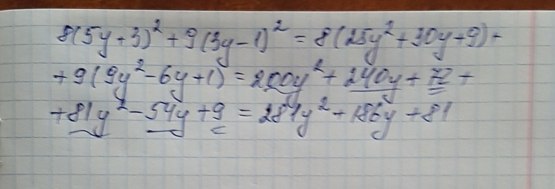
8(25y^2+30y+9)+9(9y^2-6y+1) Раскрываем скобки: 200y^2+240+72+81y^2-54y+9 Складываем общие: 281y^2-54y+258
Ответ дал:
0
Это ответ:
281y^2-54y+258
281y^2-54y+258
Ответ дал:
0
решение задания смотри на фотографии
Приложения:

Вас заинтересует
2 года назад
2 года назад
3 года назад
9 лет назад
9 лет назад
9 лет назад
9 лет назад