• Предмет: Алгебра
  • Автор: gameplaypaha
  • Вопрос задан 8 лет назад

Помогите плиз
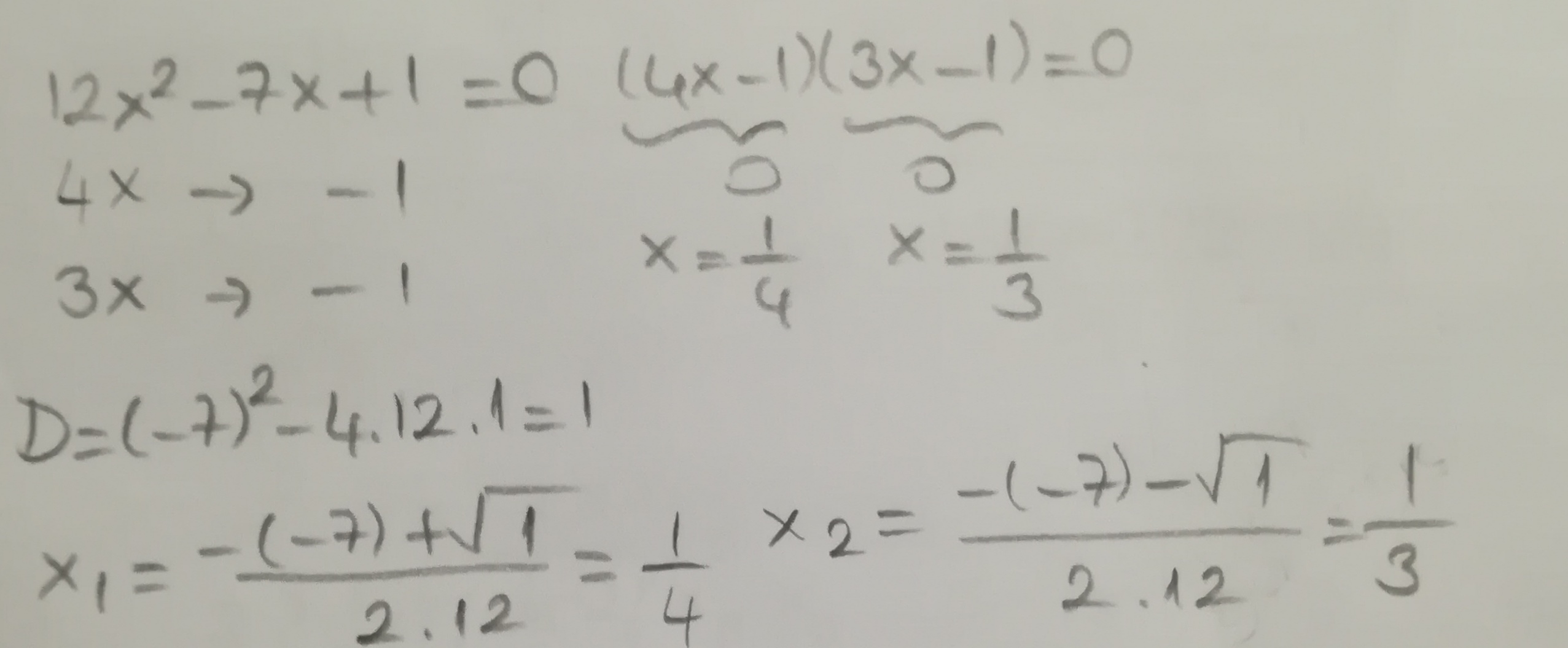
12x^2-7x+1=0

Ответы

Ответ дал: Mirage86
0

I hope this helps you

Приложения:
Вас заинтересует