Ответы
Ответ дал:
0
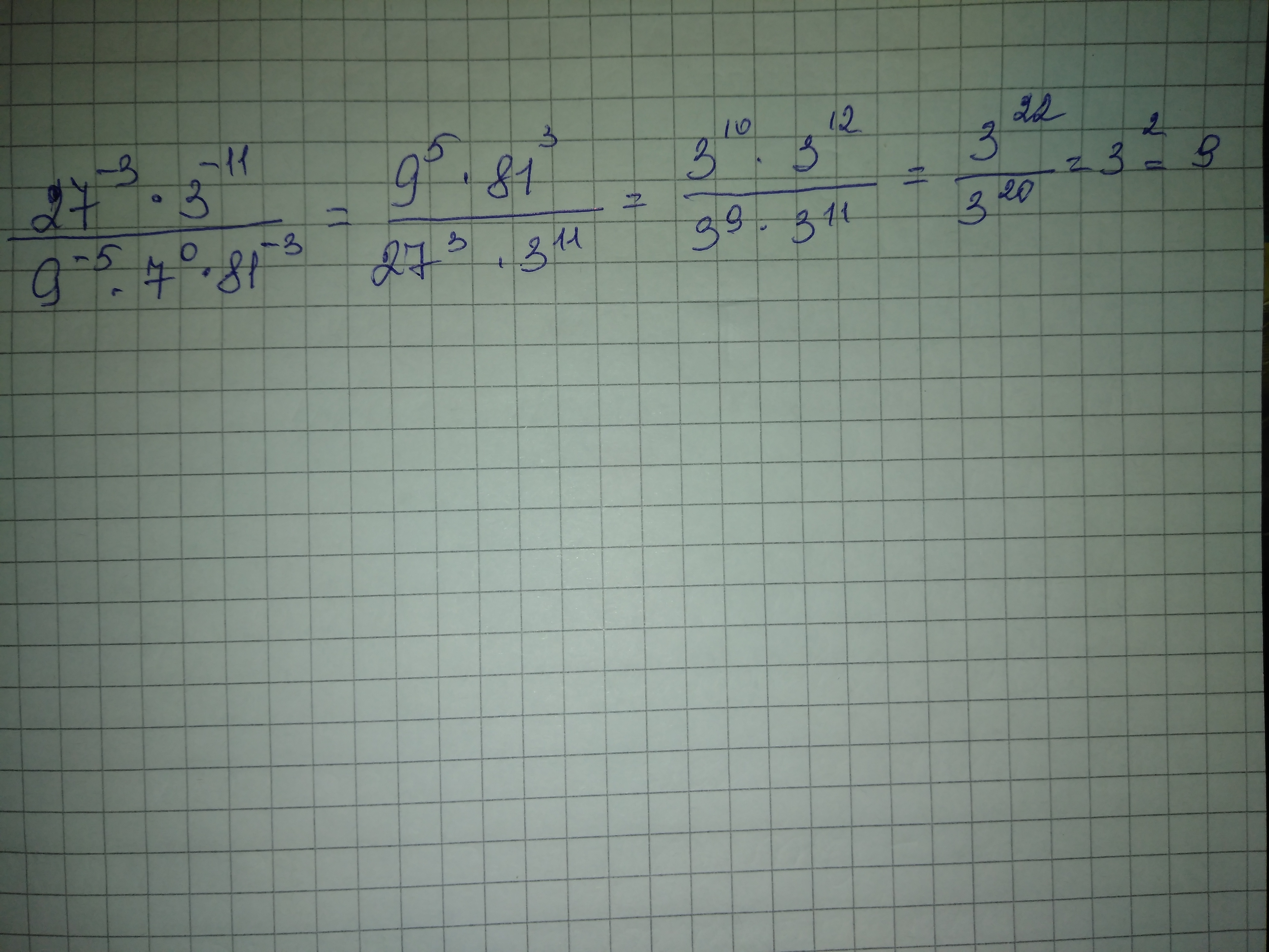
В приложении ..........
Приложения:

Вас заинтересует
2 года назад
2 года назад
3 года назад
9 лет назад